無內部短路的充電機充電鋰離子蓄電池熱失控
2018-7-25 12:16:30??????點擊:
隨著便攜式電子設備和電動車輛的爆炸性增長,迫切需要具有更高能量密度和更高安全性的充電機充電鋰離子蓄電池。最近,富鎳正極和硅/碳負極的開發將能量密度提高到了更高的水平。然而,充電機充電蓄電池安全仍然是一個主要問題。充電機充電鋰離子蓄電池最具災難性的故障模式是熱失控(TR),應該不惜一切代價避免。熱失控可能由過充電,內部充電機充電蓄電池短路和車輛碰撞引起。在TR期間,可能發生連鎖反應,產生巨大的熱量。為了理解TR機理,已經研究了各個充電機充電蓄電池組件的熱響應,包括陰極,陽極,電解質和隔膜。有報道稱,隔膜的收縮或部分關閉可能增加局部電流密度,導致額外的局部加熱或甚至引起充電機充電蓄電池的TR。制備具有高的熱穩定性隔膜是從而提高充電機充電蓄電池的安全性的一種方法。然而,在具有高熱穩定性隔膜的充電機充電蓄電池中,熱失控現象任然存在。也有報道稱,充電機充電蓄電池的電極反應的熱貢獻對充電機充電蓄電池的熱失控也存在影響。簡而言之,TR機制仍存在爭議,為了實現充電機充電鋰離子蓄電池的優化存儲和安全性能,需要對充電機充電蓄電池性能和原料性質進行系統分析。
【成果簡介】
近日,清華大學的歐陽明高院士聯合美國阿貢實驗室Khalil Amine(共同通訊作者)從汽車充電機充電蓄電池的充電機充電蓄電池性能和原材料性質出發,研究了其熱失控機制。使用石墨作為負極,單晶層狀鋰過渡金屬氧化物陰極(LiNi0.5Mn0.3Co0.2O2,NMC)和PET /陶瓷無紡隔膜的大型袋狀充電機充電蓄電池(容量為25Ah)。TR表征通過電動車輛加速量熱量計(EV + ARC)進行。在TR期間,充電機充電蓄電池電壓保持在大于2.0V而沒有內部短路,這與PET納米纖維的熔化溫度(約257℃)一致。研究表明,充電機充電蓄電池的TR不會被內部短路的熱量產生點燃,但陰極和陽極之間的化學串擾起著重要作用。 為了說明TR過程的形成和評估,通過各種原位和非原位技術仔細分析了有陽極和沒有陽極的陰極的氣體釋放,相變和發熱。相關研究成果“Thermal Runaway of Lithium-Ion Batteries without Internal Short Circuit”為題發表在Joule上。
【圖文導讀】
圖一 汽車充電機充電蓄電池的基本性能

(A)庫侖效率和循環性能
(B)倍率性能
圖二 通過EV + ARC測量的25-Ah SC-NMC532/石墨充電機充電蓄電池的熱失控溫度曲線圖

(A)TR過程中的溫度速率,充電機充電蓄電池電壓和內阻與絕對溫度的關系
(B)圖2A的段關注于TR之前的內阻
(C)TR過程中充電機充電蓄電池電壓和溫度速率之間的關系
圖四 PET/陶瓷無紡布隔膜的結構和熱性能

(A)從室溫(原始)到450℃的熱穩定性試驗后PET /陶瓷隔膜的圖像; 下面是原始和450℃樣品的掃描EM形態和元素映射的照片
(B)隔板的DSC熱流和TGA重量損失從室溫到500℃,10℃/分鐘
(C)從PET /陶瓷無紡布隔膜的表面傾斜視圖掃描EM; 插圖是Al2O3表面的放大掃描EM照片
(D)隔板的剖視圖; 由Al2O3納米顆粒包圍的PET非織造纖維(UV-環氧樹脂用于嵌入橫截面樣品)
圖五 通過DSC測量的帶電充電機充電蓄電池組件的發熱量

(A)沒有電解質的帶電電極(CE)
(B)帶電解質的帶電電極
圖六 帶電陰極材料的相變,發熱和氧釋放

(A)在選定的2θ范圍內和25℃至500℃的溫度下的時間分辨XRD圖的等高線圖
(B)通過DSC和TGA-MS系統測定的在不同溫度下的原位發熱和氧釋放
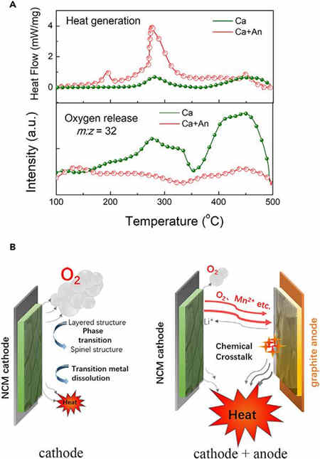
圖七 帶電陰極和陽極之間的化學串擾

(A)單獨帶電的陰極顯示出強的氧釋放峰,而陰極/陽極的混合物實際上不釋放氧,但在相同的溫度范圍內具有強烈的發熱增強
(B)陰極和陽極之間提出的化學串擾過程的說明
圖八 熱失控前充電機充電蓄電池的液氮冷凍

(A)通過液氮吹掃獲得的在206℃的TR的溫度和電壓曲線。 插圖顯示了LN冷卻后充電機充電鋰離子蓄電池的正視圖(i)和側視圖(ii)
(B)在206℃下LN冷卻后,Z字形堆疊的結構和具有隔板的陰極/陽極內部的圖像
圖九 用液氮冷凍后充電機充電蓄電池的后測試分析

(A)在TR之前掃描原始帶電的NMC532陰極和帶電陰極的EM表面圖像
(B)通過ICP-OES測量在TR之前的原始帶電陰極和帶電陰極的元素組成
(C)通過等離子體蝕刻在TR之前對原始帶電陰極和帶電陰極進行XPS分析
圖十 帶電陽極上的DSC氧氣析出曲線

(A)在不同溫度下帶電陽極的DSC測試期間作為流動氣體的氧氣感應
(B)陽極反應與氧的總熱量產生
【小結】
為了更好地了解由于大型充電機充電鋰離子蓄電池的濫用條件導致的TR機制,本文在25 Ah的充電機充電鋰離子蓄電池中使用了熱穩定高達25℃的隔膜。穩定的隔膜消除了由焦耳熱引起的內部短路的可能性。研究結果表明,TR機制是由陰極和陽極之間的化學交叉引起并且沒有嚴重的內部短路和電壓降。在大約231℃時,沒有內部短路,充電機充電蓄電池TR在之后一瞬間發生。因此提出了陰極和陽極之間的化學串擾的TR機制。通過從分層到尖晶石結構的相變,單獨的帶電陰極可以釋放氧氣并產生少量的熱量,其在276℃左右達到峰值。然而,當正極和負極混合在一起時,發熱增加了七倍,幾乎沒有氧氣釋放。因此,陽極消耗的陰極釋放的氧氣以極大的發熱速率觸發TR過程。 這些結果可以促進對復雜的充電機充電鋰離子蓄電池TR機制的理解,并且表明通過在正常操作和濫用條件下平衡正極,電解質和負極之間的串擾,可以實現汽車鋰離子和固態充電機充電蓄電池的可靠設計。
【成果簡介】
近日,清華大學的歐陽明高院士聯合美國阿貢實驗室Khalil Amine(共同通訊作者)從汽車充電機充電蓄電池的充電機充電蓄電池性能和原材料性質出發,研究了其熱失控機制。使用石墨作為負極,單晶層狀鋰過渡金屬氧化物陰極(LiNi0.5Mn0.3Co0.2O2,NMC)和PET /陶瓷無紡隔膜的大型袋狀充電機充電蓄電池(容量為25Ah)。TR表征通過電動車輛加速量熱量計(EV + ARC)進行。在TR期間,充電機充電蓄電池電壓保持在大于2.0V而沒有內部短路,這與PET納米纖維的熔化溫度(約257℃)一致。研究表明,充電機充電蓄電池的TR不會被內部短路的熱量產生點燃,但陰極和陽極之間的化學串擾起著重要作用。 為了說明TR過程的形成和評估,通過各種原位和非原位技術仔細分析了有陽極和沒有陽極的陰極的氣體釋放,相變和發熱。相關研究成果“Thermal Runaway of Lithium-Ion Batteries without Internal Short Circuit”為題發表在Joule上。
【圖文導讀】
圖一 汽車充電機充電蓄電池的基本性能

(A)庫侖效率和循環性能
(B)倍率性能
圖二 通過EV + ARC測量的25-Ah SC-NMC532/石墨充電機充電蓄電池的熱失控溫度曲線圖

圖三 25Ah SC-NMC532/石墨充電機充電蓄電池的熱失控特性
(A)TR過程中的溫度速率,充電機充電蓄電池電壓和內阻與絕對溫度的關系
(B)圖2A的段關注于TR之前的內阻
(C)TR過程中充電機充電蓄電池電壓和溫度速率之間的關系
圖四 PET/陶瓷無紡布隔膜的結構和熱性能

(A)從室溫(原始)到450℃的熱穩定性試驗后PET /陶瓷隔膜的圖像; 下面是原始和450℃樣品的掃描EM形態和元素映射的照片
(B)隔板的DSC熱流和TGA重量損失從室溫到500℃,10℃/分鐘
(C)從PET /陶瓷無紡布隔膜的表面傾斜視圖掃描EM; 插圖是Al2O3表面的放大掃描EM照片
(D)隔板的剖視圖; 由Al2O3納米顆粒包圍的PET非織造纖維(UV-環氧樹脂用于嵌入橫截面樣品)
圖五 通過DSC測量的帶電充電機充電蓄電池組件的發熱量

(A)沒有電解質的帶電電極(CE)
(B)帶電解質的帶電電極
圖六 帶電陰極材料的相變,發熱和氧釋放

(A)在選定的2θ范圍內和25℃至500℃的溫度下的時間分辨XRD圖的等高線圖
(B)通過DSC和TGA-MS系統測定的在不同溫度下的原位發熱和氧釋放
圖七 帶電陰極和陽極之間的化學串擾

(A)單獨帶電的陰極顯示出強的氧釋放峰,而陰極/陽極的混合物實際上不釋放氧,但在相同的溫度范圍內具有強烈的發熱增強
(B)陰極和陽極之間提出的化學串擾過程的說明
圖八 熱失控前充電機充電蓄電池的液氮冷凍

(A)通過液氮吹掃獲得的在206℃的TR的溫度和電壓曲線。 插圖顯示了LN冷卻后充電機充電鋰離子蓄電池的正視圖(i)和側視圖(ii)
(B)在206℃下LN冷卻后,Z字形堆疊的結構和具有隔板的陰極/陽極內部的圖像
圖九 用液氮冷凍后充電機充電蓄電池的后測試分析

(A)在TR之前掃描原始帶電的NMC532陰極和帶電陰極的EM表面圖像
(B)通過ICP-OES測量在TR之前的原始帶電陰極和帶電陰極的元素組成
(C)通過等離子體蝕刻在TR之前對原始帶電陰極和帶電陰極進行XPS分析
圖十 帶電陽極上的DSC氧氣析出曲線

(A)在不同溫度下帶電陽極的DSC測試期間作為流動氣體的氧氣感應
(B)陽極反應與氧的總熱量產生
【小結】
為了更好地了解由于大型充電機充電鋰離子蓄電池的濫用條件導致的TR機制,本文在25 Ah的充電機充電鋰離子蓄電池中使用了熱穩定高達25℃的隔膜。穩定的隔膜消除了由焦耳熱引起的內部短路的可能性。研究結果表明,TR機制是由陰極和陽極之間的化學交叉引起并且沒有嚴重的內部短路和電壓降。在大約231℃時,沒有內部短路,充電機充電蓄電池TR在之后一瞬間發生。因此提出了陰極和陽極之間的化學串擾的TR機制。通過從分層到尖晶石結構的相變,單獨的帶電陰極可以釋放氧氣并產生少量的熱量,其在276℃左右達到峰值。然而,當正極和負極混合在一起時,發熱增加了七倍,幾乎沒有氧氣釋放。因此,陽極消耗的陰極釋放的氧氣以極大的發熱速率觸發TR過程。 這些結果可以促進對復雜的充電機充電鋰離子蓄電池TR機制的理解,并且表明通過在正常操作和濫用條件下平衡正極,電解質和負極之間的串擾,可以實現汽車鋰離子和固態充電機充電蓄電池的可靠設計。
- 上一篇:我國充電機充電動力蓄電池產業的隱憂在哪里?生于安樂死于安樂. 2018/7/27
- 下一篇:特斯拉Powerwall充電機充電蓄電池交付將在全球范圍內繼 2018/7/25
