充電機充電三元正極鋰離子電池XRD剖析
關于層狀正極資料的 (003)衍射峰與(104)衍射峰的強度之比,這個ratio目標其實是針對陽離子混排程度(cationic disorder)的一個半定量半經歷式的衡量。
我們來看經歷式的剖析,相關的文獻汗牛充棟,我引一篇《The structural mechanism of the improved electrochemical performances resulted from sintering atmosphere for LiNi0.5Co0.2Mn0.3O2 cathode material》來看這個議題:
看上圖頂用紅色線框標記的數據列(I003/I104與Ni in Li layer這兩個參數),能夠得到線性相關度:
相關度不是很大,但足以闡明這兩個參數有相關,而且二者的聯系至少是單調遞減的,也就是說跟著I(003)/I(104)的比值增大,鎳離子在充電機充電鋰層中的紊亂占位比例會有所下降。
但這僅僅數據上的意義,那么在結構層面上有什么定性的剖析呢,聽我娓娓道來:
這是我用Diamond 3.2做的一張LiNi0.6Co0.2Mn0.2O2的剖面圖,晶軸為[110]R方向,能夠清晰的看到在(003)晶面上散布的簡直滿是過渡金屬離子(TM ion),而在(104)晶面上則錯落地散布這鋰離子與過渡金屬離子。那么問題來了,因為在離子群中多看了(3b)一眼,鎳就無處安放自己的點位(3a)[答主注:真是原因是Ni2+的離子半徑(0.069nm)與Li+(0.076nm)離子半徑相近,而且鎳離子的搬遷能壘很低,詳看《Nickel-Rich Layered Lithium Transition-Metal Oxide for High-Energy Lithium-Ion Batteries》],那么鎳和鋰的互換會給(003)晶面以及(104)晶面帶來蝦米影響呢?
過渡金屬的原子散射才能比鋰原子要強的多的多的多(這也是X射線衍射關于鋰元素并不活絡的原因之一),所以如果鎳離子從(003)晶面躍遷進入(104)晶面,那么這一行為勢必添加(104)晶面全體原子的散射才能而削弱了(003)關于X射線的反響,而X射線衍射峰強度與該衍射面的散射才能成正比,所以成果就是(104)晶面強度增大而(003)晶面強度削弱,這樣一來的改變就是I(003)/I(104)的比值減小,所以許多學者把這個目標用于判斷層狀三元資料陽離子混排程度的標尺。
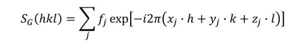
原子的散射才能是直接與形狀因子f直接掛鉤的,而晶面散射強度是結構因子S與其復共軛S*的乘積(在不考慮溫度因子與擇優取向的條件下),亦即F(hkl)=(S*)S關于一個晶面,有
上式中,hkl是該晶面指數,fj表明第j個原子的形狀因子,xyz是第j個原子的直角坐標,那么在(003)晶面的原子主要有過渡金屬原子以及與其配位的氧原子
(答主注:這里的f并不是原封不動的,跟著在這個位點上占有的散射強原子增多,f的數值會攀升)所以(003)晶面上的結構因子為
同理可知(104)晶面上的原子信息:
所以(104)晶面上的結構因子為
所以你會看到這樣的表達式
無論是鋰或許鎳,關于附近氧的配位數都是6,能夠不考慮fO帶來的影響,那么關于鎳離子搬遷到充電機充電鋰層的行為(陽離子混排),則會導致分子的減小與分母的添加,因而上式的I(003)/I(104)比值減小。
答主必需求彌補的是,上面這個連半定量都不算的強度比值推導有一個問題,那就是分子比分母要小(不信的話童鞋們能夠親身試一試),也就是說I(003)/I(104)<1,但是文獻上普遍報導的是以1.2為臨界規范,這有不小的距離,什么原因呢?私以為是式子并沒有考慮溫度因子與擇優取向。
1)溫度因子代表著在肯定零度以上,該晶面上所有原子的各向異性振蕩起伏。關于不同晶面,原子的溫度因子遭到其方位(坐標)與占位比率的影響,跟其散布有著很大聯系,在計算峰強的時候必須把溫度因子Biso作為加權因子引進算式之中;
2)擇優取向關于層狀資料來的特別顯著,依據顆粒的描摹不同,單個晶體在成長進程中,遭到外表能與晶體學缺陷的影響,會表現出強勢的沿著筆直某一晶面法向方向成長,從而暴露出該晶面。因而,有人就專門去組成片狀顆粒和棒狀描摹,為了突出想要表征的某個晶面信息。在層狀三元資猜中,(003)晶面一般帶有擇優取向,尤其是當你在制備粉末樣品時選用玻璃片壓移方法的情況下愈加顯著。
所以,自己覺得I(003)/I(104)強度比值是一個能夠快速鑒別陽離子混排程度的目標,但別把它奉為圭臬,因為任何的儀器因子、尺度因子、溫度因子都可能破壞這個目標的精確程度,硬要研判粉猜中陽離子混排的程度,不才覺得需求結合Rietveld精修成果,現在的擬合軟件越來越簡結友好,內置的卷積函數現已能夠區別儀器因子與尺度因子,在對峰形的擬合上不僅僅使用高斯算法,還一起帶入了洛倫茲批改,因而在差錯范圍內能夠直接精修得到鎳離子在充電機充電鋰層中的占比含量(Ni occupation in Li layer)。
上圖是用銅靶做的原位恒電流XRD中的(104)衍射峰改變情況,被測樣品是NMC622,我們把這個資料嚴格控制在20ppm的水分環境下,因而能夠看到資料在充電伊始并沒有呈現兩相進程,能夠掃除雜相的干擾。
在同等條件下(掃除晶粒碎化與晶格畸變),樣品(104)衍射峰展現出的突變進程能夠作為一個論據佐證過渡離子搬遷與晶面強度改變的相關性。在脫鋰深度達到40%以后(第一條虛線),實際上充電機充電鋰層的空位顯著增多,而這時不少的鎳離子就借勢進入充電機充電鋰層的空位(能壘小)中,如下圖中橘黃色箭頭所示:
這樣的成果是,(104)晶面的強度變大,而鎳在充電機充電鋰層形成了混排,表現在contour圖上的成果就是色彩加深。
但是在放電進程中,一方面因為大部分鎳離子是+4價態不適合安穩居于充電機充電鋰層空位,另一方面因為鋰離子開始逐漸回嵌入正極之中,因而鎳離子回到了自己了解的老窩,(104)晶面的強度變小,表現在contour圖上就是色彩變淺。
關于(018)與(110)衍射峰的劈裂,其實是c/a值的一個XRD表觀現象,不知道題主是從哪里得到它能夠表征畸變程度的?
看下面這張圖:
來自(110)晶面與(018)晶面的原子排列情況差別巨大,因而調查這對峰的劈裂程度只可能是看他們的2theta視點,也即方位。
那么看上左圖,(110)晶面的距離只跟a軸與b軸相關,而在六方晶系中,歸于R-3m點群結構的三元資料在a軸與b軸的方向上等效的原子排布,因而晶胞a值的巨細之間與(110)晶面距離相關,也就是與(110)衍射峰的方位相關。
看上右圖,(018)晶面的距離就與a軸和c軸有相關了,因而晶胞參數a值(更多一些)與c值的改變與(018)晶面距離相關,也就是與(018)衍射峰的方位相關。
那么,(018)與(110)這對衍射峰的方位信息或許說劈裂程度,就能夠表征c值與a值的相關巨細,劈裂程度越大方位越遠離對方[(018)向負視點偏移而(110)向正向偏移],則c值越大而a值越小,闡明c/a值越大,所以闡明層狀特性較強。
但相同,也能夠經過GSAS或許Rietica等精修軟件輸出晶胞參數c值與a值,不必經過調查(018)與(110)衍射峰的劈裂程度去判斷層狀特性。
- 上一篇:氫能和充電機充電燃料蓄電池的三大疑問解析 2017/9/11
- 下一篇:高效穩定的平面異質結充電機充電太陽能蓄電池的鹵化鈣鈦礦薄片材 2017/9/10
