雙預測交流充電樁-蓄電池充電機基于高速窄帶載波的智能有序充電系統
2018-9-27 9:42:58??????點擊:
在小區配電變壓器旁安裝智能有序管理終端(IOMU),引入短期基礎負荷預測方法,基于充電樁-蓄電池充電機供電線路采用高速窄帶載波通信方式,實現區域內各充電樁-蓄電池充電機動態組網和信息交互。
結合各充電樁-蓄電池充電機用戶充電量預測,采用主從式控制結構實現對網內接入的每輛電動汽車有序充電規劃,確保充電過程中既考慮用戶經濟性,又兼顧電網安全性,實現小區內電動汽車智能有序充電。同時,搭建實際系統進行安全經濟功能驗證,為將來電網消納規?;碾妱悠嚱尤胩峁┓桨竻⒖己突A技術支持。
近年來,中央和地方政府連續出臺的一系列政策推動了電動汽車產業的發展[1],電動汽車有望得到迅速普及。規?;碾妱悠嚱尤雽ΜF有電網系統的安全影響也越來越受到政府和電網公司重 視[2-3]。
其中,對于新建住宅小區來說,政策已規定建停車位必須100%配置充電樁-蓄電池充電機,電網公司在配置該小區的變壓器容量時已考慮對應充電負荷,后期用戶充電負荷的無序利用,除了經濟性較差外,對小區內電網系統安全性影響較小。
然而,對于大量的已建小區來說,建成時變壓器容量并未考慮充電負荷,后期的充電樁-蓄電池充電機改造成功后,因小區電動汽車用戶停車充電習慣,會出現充電負荷與用戶負荷高峰的疊加,任由用戶的無序充電會對小區電網的安全存在重大隱患,用戶經濟性和電網安全性均得不到保障[4-5],阻礙了電動汽車的推廣使用。
針對已建小區增建充電樁-蓄電池充電機帶來的小區變壓器安全問題,當前已有很多高校和科研院所展開了大量研究,文獻[6]提出一種針對住宅小區的在線和離線相結合的限功率有序充電策略,制定用戶充電優先級,并通過Matlab仿真驗證。文獻[7]在綜合用戶用車出行規律、電池狀態和用戶意愿條件下給出以削減峰谷差為目的充電負荷分配策略模型,并給出了仿真驗證。
文獻[8]基于峰谷電價給出家用電動汽車小區有序充電控制方法,并采用序貫蒙特卡洛仿真進行驗證。文獻[9]從需求分析角度,引入虛擬充電單元概念建立一種從電網優化運行到充電終端的分層分布實施架構。
文獻[10]提出網格選取法,以預防配電變壓器過載荷實現收益最大化為目標,設計最優網格選取結果,并給出算例仿真。文獻[11]提出計及充電請求預測補償的住宅區電動汽車有序充電控制策略,構建一種使系統負荷波動最小的有序充電控制模型。
綜合以上分析,可見目前行業內學者專家均已意識到將來規模化電動汽車無序充電會對電網安全產生潛在安全影響,并提出各種理論策略模型。但是這些有序充電模型基本都是建立在模擬仿真驗證上,缺少實際的充電驗證,且研究中小區交流慢充有序充電模型幾乎都是建立在可通過交流充電樁-蓄電池充電機獲得待充汽車剩余SOC基礎上的,可目前按我國國標技術生產運行的充電樁-蓄電池充電機是無法獲取接入充電汽車的剩余SOC,可見輸出的研究成果理論指導性強,實用指導性弱。
本文通過在小區配電變壓器旁安裝智能有序管理終端(IOMU),引入短期基礎負荷預測方法[12],基于充電樁-蓄電池充電機供電線路采用高速窄帶載波通信方式,實現區域內各充電樁-蓄電池充電機動態組網和信息交互,結合各充電樁-蓄電池充電機用戶充電量預測,采用主從式控制結構實現對網內接入的每輛電動汽車進行有序充電規劃,確保充電過程中既考慮用戶經濟性,又兼顧電網安全性,實現小區內電動汽車智能有序充電。同時,搭建實際系統進行功能驗證,整體技術系統為將來電網消納規?;碾妱悠嚱尤胩峁┓桨竻⒖己突A技術支持。
1 智能有序充電架構
1.1 系統架構
本文以已建小區充電樁-蓄電池充電機后續增建為背景,在小區配電變壓器旁安裝智能有序管理終端,通過通信主子節點基于交流電力線組成通信網絡,使用高速窄帶電力線載波與區內建設的各充電樁-蓄電池充電機單元互聯互通,實現信息交互。系統整體架構如圖1所示。
圖1 智能有序充電系統結構圖

小區變壓器側的IOMU在實現傳統的變壓器監測功能外,需增加基礎負荷預測、智能有序充電規劃功能。充電樁-蓄電池充電機除了實現傳統的交流慢充功能外,還實現用戶人機接口,充電量預測功能。系統整體控制方式采用主從控制模式,IOMU作為系統內主控核心,實現系統內各充電樁-蓄電池充電機充電時間的分配,充電樁-蓄電池充電機在系統中處于從屬地位接受IOMU管理,實現智能有序充電。
1.2 通信網絡
小區充電樁-蓄電池充電機的安裝環境在地下車庫,車庫建筑環境復雜,遮擋較多,無線信號傳輸受到限制,且以太網和光纖通信存在額外布線和成本過高缺點。本文采用G3_PLC高速窄帶電力線載波技術[13-14],可有效克服上述缺點,IOMU側的通信主節點在組網開始階段先對所有申請加入網絡的充電樁-蓄電池充電機子節點進行安全認證,認證成功后分配網絡PAN ID和設備標識ID,在兩者間建立一個安全信道。流程如圖2所示。
圖中安全認證流程在各通信節點的6LoWPAN適配層[15]完成,內部硬件集成AES-128加密引擎為認證提供算法支持,具體應用中的認證流程為:1)IOMU側主節點初始化成功后,基于小區低壓供電母線形成一個PAN_ID標識的局域網;2)交流充電樁-蓄電池充電機側子節點上電后,通過其供電電力線,發起request請求,申請加入網絡。
圖2 交流充電樁-蓄電池充電機加入網絡流程

3)主節點收到請求后發起EAP-PSK認證流程,和請求入網的通信終端通過4條MSG報文完成認證,如圖2所示,MSG報文中Flags為EAP協議的報頭部分,ID_S、ID_P為預設的EUI-64 MAC地址,RAND_P和RAND_S分別為主子節點生成的128bit隨機數,報文中認證碼的計算方式如式(1)和式(2)所示:
MAC_S=CMAC-AES-128(AK,ID_S||RAND_P)(1)
MAC_P=CMAC-AES-128(AK,ID_P||ID_S|| RAND_S||RAND_P) (2)
未認證的和認證失敗的子設備無法獲取對應的ID,不能和主節點進行數據通信,可保障數據報文傳輸的安全性。

2 小區基礎負荷預測
圖3 小區基礎負荷短期預測模型

模型建立過程:

2)居民小區配電變壓器短期負荷受節假日影響較大,對分解后的分量及日期類型進行歸一化處理,節假日類型為1,工作日類型為0。
3)居民小區配電變壓器短期負荷受外界各種因素影響,對其的預測單一采用一種方法不能達到較好的效果,針對各IMF分量在頻域及時域上的不同特點,分別采取不同預測模型。由于EMD分解的余項存在明顯的線性特征,采用線性神經網絡對其進行預測;余下IMF分量采用支持向量機[17](support vector machine, SVM)對其進行預測。在構建預測模型時還需要考慮氣溫的影響(當天的最高溫度和平均溫度),并將其作為模型的一組輸入。
4)SVM和線性神經網絡模型的泛化學習能力與其參數選擇有很大關系,采用收斂速度快、實現簡單的粒子群算法[18](particle swarm optimization, PSO)來解決負荷預測問題中的參數優化問題。
模型建立后,IOMU在每隔6h調用該模型,預測出小區后續短期基礎負荷曲線。
3 充電樁-蓄電池充電機充電量預測
電動汽車每次充電完成之后,充電樁-蓄電池充電機記錄本次充電的累積時長,充電的電能量W,并將本次充電數據保存在充電樁-蓄電池充電機內,同時充電樁-蓄電池充電機記錄下歷史最大充電電能量Wmax、歷史最小充電電能量Wmin及平均充電電能量Wavg及各自對應的充電功率曲線。
用戶拔槍充電后,通過三次指數平滑法進行本次的充電電能量的預測。充電量預測是基于每次充電的最終總充電數據進行,智能有序管理只是優化了充電量的充電時間分配,并未改變單次總充電量,不會對充電量預測造成影響。由于算法需要原始數據,因此新樁的前幾次不進行智能規劃充電,直接進行正常充電。
4 智能有序充電
用戶插電充電時,充電樁-蓄電池充電機通過人機接口提示與用戶交互,獲取用戶充電意圖。如選有序充電,則充電樁-蓄電池充電機獲取用戶輸入信息,進行充電量預測,通過通信網絡與IOMU進行信息交互,IOMU結合基礎負荷曲線,進行智能充電規劃,并將計劃充電時間反饋給對應充電樁-蓄電池充電機。如不選擇有序充電,考慮安全按照歷史最大充電量充電,同時計劃充電時間就設置成當前時間。
充電樁-蓄電池充電機接收到IOMU的反饋信息后按計劃時間進行充電。充電時的結束條件存在兩種情況:①充電量到時,電池還未滿電,正常結束;②預測充電量還有剩余時,電池接近滿電,電池會自動停止接收電能。流程如圖4所示。
圖4 系統實現總流程圖

IOMU中的智能有序充電規劃分為安全性規劃和經濟性規劃兩個方面,安全性規劃以判斷充電時疊加負荷是否超過負荷告警線(過載點)為依據,經濟性以滿足安全性規劃后以費率為判斷基準的電費最少,具體流程如圖5所示。
圖5 智能有序規劃流程圖

安全性規劃:IOMU將本次充電負荷疊加到實時負荷曲線上,檢查是否存在負荷過載點。如果存在,說明本次充電存在安全問題,需要根據過載點時間點分割出疊加后不過載的時間段,然后分析這些時間段是否滿足預估充電量的時間要求,滿足的話選出全部時間段,不滿足則只選取最大兩個時間段。如不存在則選出全部可行充電時間段。
經濟性規劃:經濟性規劃以費率為判斷依據,選擇所有可行充電時段中經濟性最佳的充電時間段,如果時間段惟一則將該時間段下發給對應充電樁-蓄電池充電機,同時疊加實時負荷,如果時間段不惟一,則按就近原則選取最靠近時間段,同樣執行下發和疊加負荷,完成一次智能有序規劃流程。
5 實驗驗證
本文搭建實際系統展開智能有序充電驗證,系統包括1臺具有智能有序管理功能的IOMU,10臺交流充電樁-蓄電池充電機,11臺載波通信節點單元。所用交流充電樁-蓄電池充電機充電功率為2kW,驗證充電汽車為江淮iEV4電動汽車,汽車電池容量為22kWh,充電現場和充電樁-蓄電池充電機充電時人機接口如圖6所示。
圖6 充電現場和充電樁-蓄電池充電機人機接口

峰時電價:0.617元/度,6∶00~22∶00。谷時電價:0.307元/度,22∶00~次日6∶00。IOMU中初始預測負荷曲線模擬如圖7所示。
圖7 模擬預測負荷曲線

5.1 mesh網絡拓撲
系統內充電樁-蓄電池充電機、IOMU、通信節點上電后,按上文流程組成通信網落,各子節點獲得主節點分配的網內惟一標識ID,具體分配的網絡內ID如下:
通信主節點:ID=0x00;通信子節點:ID=0x01,0x02,0x03,0x04,0x05,0x06,0x07,0x08,0x09,0x0A
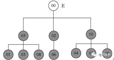
圖8所示為系統中10個子節點組網成功后的網絡拓撲圖。
圖8 系統通信mesh網絡拓撲

通信網絡中采用了LOADng路由技術[19],在原來的LOAD基礎上增加了非對稱路由路徑選擇,減少路由廣播報文的發送等修改,保證了載波通信網絡的穩定性和可靠性。由圖8可看出,最大路由深度為2跳,其路由路徑選擇較均勻,為數據通信時提供可靠穩定的網絡保障。
5.2 充電檢驗
組網成功后,IOMU即可實現對網絡內的各充電樁-蓄電池充電機充電進行智能管理,實驗采用3臺電動汽車進行充電,充電人機輸入和預測電量見表1。
表1 實驗充電樁-蓄電池充電機輸入

可以看到未有序管理的充電時間疊加在峰值時間段,經過有序管理的充電時間段分配在谷時時間段,經濟性得到體現,如圖9所示。同時調整充電汽車預估電量,增加電量后再驗證電網安全性,未智能管理的充電負荷疊加出現負荷越限,智能有序充電的則有效設置充電時間段,避開負荷高峰,實現小區安全用電,如圖10所示。
圖9 普通充電與智能充電經濟性

圖10 普通充電與智能充電安全性

結論
利用小區配電變壓器側IOMU作為小區充電樁-蓄電池充電機充電管理核心單元,引入基礎負荷預測,配合充電樁-蓄電池充電機充電量預測,在現有電力線上利用高速窄帶載波技術實現通信組網,與小區內交流充電樁-蓄電池充電機進行實時信息交互,完成智能有序充電。系統實施將有效解決將來老舊小區充電樁-蓄電池充電機改造帶來的原配電容量限制問題。
但是本文研究以配電網下小區為單位,系統只智能管理小區內的充電負荷,在小區配電變壓器范圍內實現安全經濟充電,未考慮小區整體負荷對上游配電線路的影響,后續可將配電線路線損作為優化目標,加入到小區負荷預測中,在考慮充電負荷的經濟性同時兼顧配電線路線損,為配電網將來消納規?;碾妱悠嚱尤胩峁┮环N適用技術方案。
結合各充電樁-蓄電池充電機用戶充電量預測,采用主從式控制結構實現對網內接入的每輛電動汽車有序充電規劃,確保充電過程中既考慮用戶經濟性,又兼顧電網安全性,實現小區內電動汽車智能有序充電。同時,搭建實際系統進行安全經濟功能驗證,為將來電網消納規?;碾妱悠嚱尤胩峁┓桨竻⒖己突A技術支持。
近年來,中央和地方政府連續出臺的一系列政策推動了電動汽車產業的發展[1],電動汽車有望得到迅速普及。規?;碾妱悠嚱尤雽ΜF有電網系統的安全影響也越來越受到政府和電網公司重 視[2-3]。
其中,對于新建住宅小區來說,政策已規定建停車位必須100%配置充電樁-蓄電池充電機,電網公司在配置該小區的變壓器容量時已考慮對應充電負荷,后期用戶充電負荷的無序利用,除了經濟性較差外,對小區內電網系統安全性影響較小。
然而,對于大量的已建小區來說,建成時變壓器容量并未考慮充電負荷,后期的充電樁-蓄電池充電機改造成功后,因小區電動汽車用戶停車充電習慣,會出現充電負荷與用戶負荷高峰的疊加,任由用戶的無序充電會對小區電網的安全存在重大隱患,用戶經濟性和電網安全性均得不到保障[4-5],阻礙了電動汽車的推廣使用。
針對已建小區增建充電樁-蓄電池充電機帶來的小區變壓器安全問題,當前已有很多高校和科研院所展開了大量研究,文獻[6]提出一種針對住宅小區的在線和離線相結合的限功率有序充電策略,制定用戶充電優先級,并通過Matlab仿真驗證。文獻[7]在綜合用戶用車出行規律、電池狀態和用戶意愿條件下給出以削減峰谷差為目的充電負荷分配策略模型,并給出了仿真驗證。
文獻[8]基于峰谷電價給出家用電動汽車小區有序充電控制方法,并采用序貫蒙特卡洛仿真進行驗證。文獻[9]從需求分析角度,引入虛擬充電單元概念建立一種從電網優化運行到充電終端的分層分布實施架構。
文獻[10]提出網格選取法,以預防配電變壓器過載荷實現收益最大化為目標,設計最優網格選取結果,并給出算例仿真。文獻[11]提出計及充電請求預測補償的住宅區電動汽車有序充電控制策略,構建一種使系統負荷波動最小的有序充電控制模型。
綜合以上分析,可見目前行業內學者專家均已意識到將來規模化電動汽車無序充電會對電網安全產生潛在安全影響,并提出各種理論策略模型。但是這些有序充電模型基本都是建立在模擬仿真驗證上,缺少實際的充電驗證,且研究中小區交流慢充有序充電模型幾乎都是建立在可通過交流充電樁-蓄電池充電機獲得待充汽車剩余SOC基礎上的,可目前按我國國標技術生產運行的充電樁-蓄電池充電機是無法獲取接入充電汽車的剩余SOC,可見輸出的研究成果理論指導性強,實用指導性弱。
本文通過在小區配電變壓器旁安裝智能有序管理終端(IOMU),引入短期基礎負荷預測方法[12],基于充電樁-蓄電池充電機供電線路采用高速窄帶載波通信方式,實現區域內各充電樁-蓄電池充電機動態組網和信息交互,結合各充電樁-蓄電池充電機用戶充電量預測,采用主從式控制結構實現對網內接入的每輛電動汽車進行有序充電規劃,確保充電過程中既考慮用戶經濟性,又兼顧電網安全性,實現小區內電動汽車智能有序充電。同時,搭建實際系統進行功能驗證,整體技術系統為將來電網消納規?;碾妱悠嚱尤胩峁┓桨竻⒖己突A技術支持。
1 智能有序充電架構
1.1 系統架構
本文以已建小區充電樁-蓄電池充電機后續增建為背景,在小區配電變壓器旁安裝智能有序管理終端,通過通信主子節點基于交流電力線組成通信網絡,使用高速窄帶電力線載波與區內建設的各充電樁-蓄電池充電機單元互聯互通,實現信息交互。系統整體架構如圖1所示。
圖1 智能有序充電系統結構圖

小區變壓器側的IOMU在實現傳統的變壓器監測功能外,需增加基礎負荷預測、智能有序充電規劃功能。充電樁-蓄電池充電機除了實現傳統的交流慢充功能外,還實現用戶人機接口,充電量預測功能。系統整體控制方式采用主從控制模式,IOMU作為系統內主控核心,實現系統內各充電樁-蓄電池充電機充電時間的分配,充電樁-蓄電池充電機在系統中處于從屬地位接受IOMU管理,實現智能有序充電。
1.2 通信網絡
小區充電樁-蓄電池充電機的安裝環境在地下車庫,車庫建筑環境復雜,遮擋較多,無線信號傳輸受到限制,且以太網和光纖通信存在額外布線和成本過高缺點。本文采用G3_PLC高速窄帶電力線載波技術[13-14],可有效克服上述缺點,IOMU側的通信主節點在組網開始階段先對所有申請加入網絡的充電樁-蓄電池充電機子節點進行安全認證,認證成功后分配網絡PAN ID和設備標識ID,在兩者間建立一個安全信道。流程如圖2所示。
圖中安全認證流程在各通信節點的6LoWPAN適配層[15]完成,內部硬件集成AES-128加密引擎為認證提供算法支持,具體應用中的認證流程為:1)IOMU側主節點初始化成功后,基于小區低壓供電母線形成一個PAN_ID標識的局域網;2)交流充電樁-蓄電池充電機側子節點上電后,通過其供電電力線,發起request請求,申請加入網絡。
圖2 交流充電樁-蓄電池充電機加入網絡流程

3)主節點收到請求后發起EAP-PSK認證流程,和請求入網的通信終端通過4條MSG報文完成認證,如圖2所示,MSG報文中Flags為EAP協議的報頭部分,ID_S、ID_P為預設的EUI-64 MAC地址,RAND_P和RAND_S分別為主子節點生成的128bit隨機數,報文中認證碼的計算方式如式(1)和式(2)所示:
MAC_S=CMAC-AES-128(AK,ID_S||RAND_P)(1)
MAC_P=CMAC-AES-128(AK,ID_P||ID_S|| RAND_S||RAND_P) (2)
未認證的和認證失敗的子設備無法獲取對應的ID,不能和主節點進行數據通信,可保障數據報文傳輸的安全性。

2 小區基礎負荷預測
圖3 小區基礎負荷短期預測模型

模型建立過程:

2)居民小區配電變壓器短期負荷受節假日影響較大,對分解后的分量及日期類型進行歸一化處理,節假日類型為1,工作日類型為0。
3)居民小區配電變壓器短期負荷受外界各種因素影響,對其的預測單一采用一種方法不能達到較好的效果,針對各IMF分量在頻域及時域上的不同特點,分別采取不同預測模型。由于EMD分解的余項存在明顯的線性特征,采用線性神經網絡對其進行預測;余下IMF分量采用支持向量機[17](support vector machine, SVM)對其進行預測。在構建預測模型時還需要考慮氣溫的影響(當天的最高溫度和平均溫度),并將其作為模型的一組輸入。
4)SVM和線性神經網絡模型的泛化學習能力與其參數選擇有很大關系,采用收斂速度快、實現簡單的粒子群算法[18](particle swarm optimization, PSO)來解決負荷預測問題中的參數優化問題。
模型建立后,IOMU在每隔6h調用該模型,預測出小區后續短期基礎負荷曲線。
3 充電樁-蓄電池充電機充電量預測
電動汽車每次充電完成之后,充電樁-蓄電池充電機記錄本次充電的累積時長,充電的電能量W,并將本次充電數據保存在充電樁-蓄電池充電機內,同時充電樁-蓄電池充電機記錄下歷史最大充電電能量Wmax、歷史最小充電電能量Wmin及平均充電電能量Wavg及各自對應的充電功率曲線。
用戶拔槍充電后,通過三次指數平滑法進行本次的充電電能量的預測。充電量預測是基于每次充電的最終總充電數據進行,智能有序管理只是優化了充電量的充電時間分配,并未改變單次總充電量,不會對充電量預測造成影響。由于算法需要原始數據,因此新樁的前幾次不進行智能規劃充電,直接進行正常充電。
4 智能有序充電
用戶插電充電時,充電樁-蓄電池充電機通過人機接口提示與用戶交互,獲取用戶充電意圖。如選有序充電,則充電樁-蓄電池充電機獲取用戶輸入信息,進行充電量預測,通過通信網絡與IOMU進行信息交互,IOMU結合基礎負荷曲線,進行智能充電規劃,并將計劃充電時間反饋給對應充電樁-蓄電池充電機。如不選擇有序充電,考慮安全按照歷史最大充電量充電,同時計劃充電時間就設置成當前時間。
充電樁-蓄電池充電機接收到IOMU的反饋信息后按計劃時間進行充電。充電時的結束條件存在兩種情況:①充電量到時,電池還未滿電,正常結束;②預測充電量還有剩余時,電池接近滿電,電池會自動停止接收電能。流程如圖4所示。
圖4 系統實現總流程圖

IOMU中的智能有序充電規劃分為安全性規劃和經濟性規劃兩個方面,安全性規劃以判斷充電時疊加負荷是否超過負荷告警線(過載點)為依據,經濟性以滿足安全性規劃后以費率為判斷基準的電費最少,具體流程如圖5所示。
圖5 智能有序規劃流程圖

安全性規劃:IOMU將本次充電負荷疊加到實時負荷曲線上,檢查是否存在負荷過載點。如果存在,說明本次充電存在安全問題,需要根據過載點時間點分割出疊加后不過載的時間段,然后分析這些時間段是否滿足預估充電量的時間要求,滿足的話選出全部時間段,不滿足則只選取最大兩個時間段。如不存在則選出全部可行充電時間段。
經濟性規劃:經濟性規劃以費率為判斷依據,選擇所有可行充電時段中經濟性最佳的充電時間段,如果時間段惟一則將該時間段下發給對應充電樁-蓄電池充電機,同時疊加實時負荷,如果時間段不惟一,則按就近原則選取最靠近時間段,同樣執行下發和疊加負荷,完成一次智能有序規劃流程。
5 實驗驗證
本文搭建實際系統展開智能有序充電驗證,系統包括1臺具有智能有序管理功能的IOMU,10臺交流充電樁-蓄電池充電機,11臺載波通信節點單元。所用交流充電樁-蓄電池充電機充電功率為2kW,驗證充電汽車為江淮iEV4電動汽車,汽車電池容量為22kWh,充電現場和充電樁-蓄電池充電機充電時人機接口如圖6所示。
圖6 充電現場和充電樁-蓄電池充電機人機接口

峰時電價:0.617元/度,6∶00~22∶00。谷時電價:0.307元/度,22∶00~次日6∶00。IOMU中初始預測負荷曲線模擬如圖7所示。
圖7 模擬預測負荷曲線

5.1 mesh網絡拓撲
系統內充電樁-蓄電池充電機、IOMU、通信節點上電后,按上文流程組成通信網落,各子節點獲得主節點分配的網內惟一標識ID,具體分配的網絡內ID如下:
通信主節點:ID=0x00;通信子節點:ID=0x01,0x02,0x03,0x04,0x05,0x06,0x07,0x08,0x09,0x0A
圖8所示為系統中10個子節點組網成功后的網絡拓撲圖。
圖8 系統通信mesh網絡拓撲

通信網絡中采用了LOADng路由技術[19],在原來的LOAD基礎上增加了非對稱路由路徑選擇,減少路由廣播報文的發送等修改,保證了載波通信網絡的穩定性和可靠性。由圖8可看出,最大路由深度為2跳,其路由路徑選擇較均勻,為數據通信時提供可靠穩定的網絡保障。
5.2 充電檢驗
組網成功后,IOMU即可實現對網絡內的各充電樁-蓄電池充電機充電進行智能管理,實驗采用3臺電動汽車進行充電,充電人機輸入和預測電量見表1。
表1 實驗充電樁-蓄電池充電機輸入

可以看到未有序管理的充電時間疊加在峰值時間段,經過有序管理的充電時間段分配在谷時時間段,經濟性得到體現,如圖9所示。同時調整充電汽車預估電量,增加電量后再驗證電網安全性,未智能管理的充電負荷疊加出現負荷越限,智能有序充電的則有效設置充電時間段,避開負荷高峰,實現小區安全用電,如圖10所示。
圖9 普通充電與智能充電經濟性

圖10 普通充電與智能充電安全性

結論
利用小區配電變壓器側IOMU作為小區充電樁-蓄電池充電機充電管理核心單元,引入基礎負荷預測,配合充電樁-蓄電池充電機充電量預測,在現有電力線上利用高速窄帶載波技術實現通信組網,與小區內交流充電樁-蓄電池充電機進行實時信息交互,完成智能有序充電。系統實施將有效解決將來老舊小區充電樁-蓄電池充電機改造帶來的原配電容量限制問題。
但是本文研究以配電網下小區為單位,系統只智能管理小區內的充電負荷,在小區配電變壓器范圍內實現安全經濟充電,未考慮小區整體負荷對上游配電線路的影響,后續可將配電線路線損作為優化目標,加入到小區負荷預測中,在考慮充電負荷的經濟性同時兼顧配電線路線損,為配電網將來消納規?;碾妱悠嚱尤胩峁┮环N適用技術方案。
- 上一篇:充電機充電非對稱超級電容器的設計與機理是什么? 2018/9/27
- 下一篇:蓄電池充電機-充電樁行業“生死戰” :輕資產轉型 聚焦平臺之 2018/9/22
